2. Метод разработки и принцип формирования коэффициентов пересчета

<< Нажмите, чтобы отобразить содержание (Click to Display Table of Contents) >>

Письма Министерства Культуры РФ > Письма Министерства культуры  > (№17-01-35/04-ДА) Методика расчета коэффициентов пересчета сметной стоимости реставрационно-восстановительных работ от уровня 1984 г. в текущий уровень цен > Методика расчета коэффициентов пересчета сметной стоимости реставрационно-восстановительных работ от уровня 1984 г. в текущий уровень цен >

2. Метод разработки и принцип формирования коэффициентов пересчета

2.1. Коэффициенты пересчета в текущий уровень цен должны применяться к сметной стоимости, просчитанной по сборникам ССН-84 для данного региона.

 

2.2. Затраты труда, расход материальных ресурсов (в физических единицах измерения) по каждому элементу, в натуральных показателях принимаются в соответствии с номенклатурой работ и структурой затрат по разделам ССН-84 для данного региона.

 

2.3. Коэффициенты пересчета формируются по однотипным видам работ в соответствии с разделами ССН-84 для данного региона.

 

2.4. Для определения размера коэффициента пересчета необходимо составление нескольких расчетов (не менее 3-х) на каждый одинаковый процесс, но с разными усложняющими факторами.

 

2.5. Расчет коэффициентов стоимости трудозатрат:

 

001,

где

ЗТЕК.СР. — средняя заработная плата рабочих-реставраторов по состоянию на текущий период в регионе;

ЗСР.84 —  средняя заработная плата рабочих-реставраторов в 1984 г. по региону.

 

2.6. Расчет коэффициентов к стоимости материалов

 

002,

где

МТЕК. —  стоимость материалов по параграфу соответствующего раздела ССН-84 на текущий период согласно отпускных и сметных цен по региону;

М84  —  стоимость материалов по параграфу соответствующего раздела ССН-84 согласно региональных ценников 1984 г.

 

 

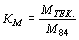
2.7. Расчет коэффициентов пересчета к сметной стоимости работ

 

003,

где

 

СМРТЕК.  —  сметная стоимость реставрационно-восстановительных работ в текущих ценах, определенная так:

 

004,

где

 

С.Тр. —  стоимость трудозатрат по расценке параграфа ССН-84 в рублях;

 

КЗ  —  расчетный коэффициент к трудозатратам;

 

МТЕК —  стоимость материалов по параграфу соответствующего раздела ССН-84 на момент расчета коэффициентов;

 

НР% —  накладные расходы исчисленные от фонда оплаты труда в текущих ценах (110%);

 

СП% —  сметная прибыль исчисленная от фонда оплаты труда в текущих ценах (65%);

 

СМР84 — сметная стоимость работ в ценах 1984 г.

Наверх