|
<< Нажмите, чтобы отобразить содержание (Click to Display Table of Contents) >> Методики расчета строки локальной сметы > Расчет базовой цены от натуральных показателей объекта |
1.1. Базовая цена разработки проектной документации в зависимости от натуральных показателей объекта определяется по формуле:
![]()
где:
"а" и "b" — постоянные величины для определенного интервала основного показателя проектируемого объекта;
Х — основной показатель проектируемого объекта;
Кст — коэффициент на стадийность проектирования;
Кi — инфляционный коэффициент.
Пример расчета строки:
Необходимо рассчитать стоимость разработки документации на проектирование одноэтажного жилого дома. Стадия – "рабочий проект".
Исходные данные:
Справочник 2003г. – Объекты жилищно-гражданского строительства, глава 01, таблица 1, позиция 001.
№ п/п |
Наименование объекта проектирования |
Единица измерения основного показателя объекта |
Постоянные величины базовой цены разработки проектной документации, тыс. руб. |
|
а |
в |
|||
1 |
2 |
3 |
4 |
5 |
1 |
1-этажный жилой дом с надворными настройками |
м3 |
275,558 |
0,017 |
Хзад = 1500 м3
Коэффициент на стадию рабочий проект Кст= 0,85
Расчет:
Базовая цена проектирования по этой расценке будет рассчитываться следующим образом:
Cбаз = (275,558 + 0,017 х 1500) х 0,85 = 301,058 х 0,85 = 255,899 тыс. руб.
Пример расценки в окне базы НСИ:

Во вкладке Детали отображаются:
•значения а и b;
•значения Хmin и Хmax не заданы, так как для данной расценки не задан диапазон значений натурального показателя.
Пример расчета строки в программе:

Значение Х устанавливается во вкладке Строка поле Х.
Инфляционный коэффициент может начисляться в концевике и в пересчете. Подробное описание значений в столбцах смотрите в разделе "Описание строки ЛС".
1.2. Экстраполяция и интерполяция при расчете цены проектных работ (в расценке присутствуют a и b)
В случае, когда проектируемый объект имеет значение основного показателя Хзад меньше минимального или больше максимального показателя, приведенных в таблице Сборника цен или Справочника базовых цен, базовая цена проектирования определяется путем экстраполяции. При этом величина поправки к цене уменьшается на 40%, то есть при расчете показатель проектируемого объекта Хзад принимается с коэффициентом 0,6.
1.2.1. Если показатель мощности объекта меньше минимального табличного показателя
Хзад < Хmin,
то базовая цена его проектирования определяется по формуле:
![]()
где "а" и "b" – постоянные величины, принимаемые по таблице минимального значения показателя;
Хmin – минимальный показатель, приведенный в таблице;
Хзад – показатель проектируемого объекта;
Кст — коэффициент на стадийность проектирования.
Пример расценки в окне базы НСИ:

Во вкладке Детали отображаются:
•значения а и b;
•минимальное Хmin и максимальное Хmax значение натурального показателя.
Пример расчета строки:
Необходимо рассчитать стоимость разработки документации на проектирование киностудии художественных фильмов мощностью 4 фильма в год. Стадия – "рабочий проект".
Исходные данные:
Справочник 2003г. – Объекты жилищно-гражданского строительства, глава 05, таблица 16, позиция 001.
№ п/п |
Наименование объекта проектирования |
Единица измерения основного показателя объекта |
Постоянные величины базовой цены разработки проектной документации, тыс. руб. |
|
а |
в |
|||
1 |
2 |
3 |
4 |
5 |
1 |
Киностудия художественных фильмов мощностью от 6 до 10 фильмов в год |
1 фильм |
1945,8 |
103,74 |
Хзад = 4 фильма в год
Коэффициент на стадию рабочий проект К = 0,85
Расчет:
Базовая цена проектирования по этой расценке будет рассчитываться следующим образом:
Cбаз = [1945,8 + 103,74 х (0,4 х 6 + 0,6 х 4)] х 0,85 = 2443,752 х 0,85 = 2077,189 тыс. руб.
Пример расчета строки в программе:

Во вкладке Строка в поле Х устанавливается значение натурального показателя Х. Если Х выходит за пределы указанного в расценке интервала для натурального показателя (см. поле Тип), то формула экстраполяции применяется автоматически.
1.2.2. Если показатель мощности объекта больше максимального табличного показателя
Хmax < Хзад,
то базовая цена его проектирования определяется по формуле:
,
где "а" и "b" – постоянные величины, принимаемые по таблице максимального значения показателя;
Хmax – максимальный показатель, приведенный в таблице;
Хзад – показатель проектируемого объекта;
Кст – коэффициент на стадийность проектирования.
Пример расчета строки:
Необходимо рассчитать стоимость разработки документации на проектирование киностудии художественных фильмов мощностью 18 фильмов в год. Стадия – "рабочий проект".
Исходные данные:
Справочник 2003г. – Объекты жилищно-гражданского строительства, глава 05, таблица 16, позиция 002.
№ п/п |
Наименование объекта проектирования |
Единица измерения основного показателя объекта |
Постоянные величины базовой цены разработки проектной документации, тыс. руб. |
|
а |
в |
|||
1 |
2 |
3 |
4 |
5 |
1 |
Киностудия художественных фильмов мощностью от 10 до 14 фильмов в год |
1 фильм |
2070,8 |
91,24 |
Хзад = 18 фильмов в год
Коэффициент на стадию "рабочий проект" K = 0,85
Расчет:
Базовая цена проектирования по этой расценке будет рассчитываться следующим образом:
Cбаз = [2070,8 + 91,24 х (0,4 х 14 + 0,6 х 18)] х 0,85 = 3567,136 х 0,85 = 3032,066 тыс. руб.
Пример расчета строки в программе:

1.3. Расчет расценок со стоимостью и натуральным показателем, заданным дискретно
В случае, когда в таблице приведено только значение "а", проектируемый объект имеет значение показателя, не совпадающее с приведенными в таблице, базовая цена его проектирования определяется путем интерполяции или экстраполяции. При экстраполяции в сторону уменьшения или увеличения величина поправки к цене уменьшается на 40% (при расчете величины поправки вводится понижающий коэффициент К = 0,6). Расценкам, к значениям показателей которых Хзад находится ближе всего присвоим индексы "min" и "max" соответственно.
при Хзад<Хmin |
|
при Xmin<Xзад<Xmax |
|
при Хзад>Хmax |
|
Пример расценки в окне базы НСИ:

Для расценок такого типа значение натурального показателя Х задано дискретно (15 тыс.т, 20 тыс.т. и т.д.) Значение параметра b=0.
Пример расчета строки:
Необходимо рассчитать стоимость разработки документации на проектирование усреднительного склада карбонатного сырья вместимостью 12 тыс. тонн. Стадия – "рабочий проект".
Исходные данные:
Справочник 1995г – Объекты промышленности строительных материалов, глава 01, табл. 01, позиции 002 и 003.
№ п/п |
Наименование объекта проектирования |
Единица измерения основного показателя объекта |
Постоянные величины базовой цены разработки проектной документации, млн. руб. |
|
|
|
|
а |
в |
1 |
2 |
3 |
4 |
5 |
002 |
Усреднительный склад карбонатного сырья с галереями и перегрузочными узлами вместимостью 15 тыс. тонн |
тыс. тонн |
205,03 |
0 |
003 |
Усреднительный склад карбонатного сырья с галереями и перегрузочными узлами вместимостью 20 тыс. тонн |
тыс. тонн |
227,92 |
0 |
Хзад = 12 тыс. тонн
Хзад<Хmin
Коэффициент на стадию "рабочий проект" К =0,85
K = 1/1000 - согласно письму Государственного комитета РФ по жилищной и строительной политике №9-1-1/6(Д) от 13 января 1998 г.
Расчет:
Базовая цена проектирования будет рассчитываться следующим образом:
Cбаз = [205,03 - (227,920 - 205,030) / (20 - 15) х (15 - 12) х 0,6] х 0,85 / 1000 = 196789,6 х 0,85 / 1000 = 167,27099 тыс. руб.
Пример расчета строки в программе:

Расчет по формуле экстраполяции для расценок такого типа производится автоматически. Во вкладке Строка установлен флаг «Расчет по группе расценок» и указывается шифр «второй» расценки по которой будет производится расчет экстраполяции (интерполяции).
![]()
Обратите внимание!
На все расценки из справочников базовых цен, изданных с 1994г. по 1997г, автоматически начисляется коэффициент К=1/1000, согласно письму Государственного Комитета РФ по жилищной и строительной политике №9-1-1/6(Д) от 13января 1998г. (см. Справка – Методические материалы – Письма ГосСтроя). Коэффициент начисляется во вкладке Поправки. (см. раздел "Поправки").
Для случаев, когда Xmin < Xзад < Xmax и Xзад > Xmax, расчет расценок выполняется аналогично.
.4. Расчет расценок НПО с параметром
В расценках такого типа значения "a" и "b" зависят от значения натурального показателя Х.
Пример расчета строки:
Рассчитать стоимость проектирования комплекса сооружений механохимической очистки нефтесодержащих сточных вод производительностью 2500 м3/сут.
Исходные данные: СБЦ-01-02 , глава 6, таблица 8, позиция 2. Стадия проектирования - "рабочий проект".
N п/п |
Наименование объекта проектирования |
Единица измерения основного показателя объекта |
Постоянные величины базовой цены разработки проектной документации, тыс.руб. |
|
|
b |
|||
1 |
2 |
3 |
4 |
5 |
2. |
Комплекс сооружений механохимической очистки нефтесодержащих сточных вод производительностью, м |
м |
|
|
2.1 |
от 2000 до 4000 |
" |
1531,5 |
0,39 |
2.2 |
св. 4000 до 10000 |
" |
2011,5 |
0,27 |
Расчет:
Сбаз = (1531,5 + 0.39 х 2500) Х 95% = 2381,175 тыс. руб.
Пример расценки в окне базы НСИ:

При выборе расценки из базы в смету необходимо указать значение натурального показателя Х, при этом в расчет строки попадут соответствующие значения a и b.
Пример расчета строки в программе:

При изменении значения натурального показателя в поле Х, значения "a" и "b" соответственно изменятся:

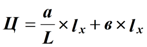
1.5. Метод расчета расценок для «Полного Х»
Расценки подобного типа встречаются, например, в справочнике СБЦ01-28 «Автомобильные дороги общего пользования».
В указанном справочнике согласно т.ч. п.4.3 базовая цена проектирования автомобильной дороги, состоящей из участков, имеющих различную категорию дороги или сложности проектирования, определяется суммированием цен проектирования участков, рассчитанных по формуле:
![]()
где:
|
L |
- |
протяженность дороги или этапа строительства; |
|
lx |
- |
протяженность участка различной категории дороги или сложности проектирования; |
|
a |
- |
показатели, приведенные в таблице 2, для дороги или этапа строительства. |
|
в |
Пример расчета строки:
Необходимо рассчитать стоимость проектирования 4-х полосной автомобильной дороги, протяженностью 16 км, из которых 8км относятся к проектированию 1 категории сложности, последующие 8 км относятся к проектированию 2 категории сложности.
Исходные данные: СБЦ-01-28 «Автомобильные дороги общего пользования», таблица 2, позиции 7 и 8. Стадия – "рабочая документация".
№ п/п |
Протяжение дороги в км |
Единица измерения |
Категория сложности проектирования |
Категория дороги IA, 1Б, 1В (4 полосы) |
|||
Постоянные величины цены разработки проектной документации в тыс. руб. |
Ориентировочные размеры в процентах по стадиям проектирования |
||||||
а |
в |
П |
Р |
||||
1 |
2 |
3 |
4 |
5 |
6 |
7 |
8 |
7 |
св.5 до 10 |
" |
1 |
568,33 |
156,81 |
36 |
64 |
8 |
" |
" |
2 |
660,1 |
177,1 |
38 |
62 |
Расчет стоимости проектирования дороги будет проводится в 2 строки:
1.Расчет участка длиной 8 км. 1 категория сложности проектирования:
![]()
2.Расчет участка длиной 8 км 2 категория сложности проектирования:
![]()
Общая стоимость проектирования автомобильной дороги будет рассчитываться путем суммирования:
Сбаз = 984,7328 + 1083,047 = 2067, 7798 тыс.руб.
Пример расценки в окне базы НСИ:

Пример расчета строки в программе:

При выборе соответствующей расценки в смету во вкладке Строка необходимо установить флажок
в поле Полный Х и внести протяженность всей дороги. В поле Х вносим протяженность участка дороги с заданной категорией сложности проектирования.
Базовая стоимость проектирования всей дороги будет видна в поле Итог ЛС на панели инструментов (для ЛС без разделов и концевика).
Наверх